本帖最后由 馋洋洋 于 2021-4-26 19:35 编辑 我入行三年以来,买的书也有很多了,直到看完了这本《机械领域专利申请文件撰写精解》,专利的撰写终于揭开了她神秘的面纱,再也不是云里雾里的了。
首先,我先推荐一下我看过的好书,并且说明他们的内容要点,以及看书的顺序。
(一)中国专利法详解。
内容就是书名,这本书必看,并且自学者一定要第一本就看,当年看这本书之前,我先看了《专利申请代理实务机械分册》,看得我云里雾里的,什么“在先申请、在后申请、抵触申请……“完全不知道什么意思!书中也没有对这些缩写名词做任何解释,在写书的大佬看来,这些都是基础啦,怎么可能有人看不懂呢。
(二)专利审查指南。
这本书也是必看,相信没有人不看的吧?我听说很多人不看审查指南,光是刷题就过了考试,不过我分析了近几年的专利考试题目,16年以前的只考专利法及其细则,16年以后的题目全部都是取自专利审查指南的,不看书应该很难通过考试的。就算通过了,也只能在论坛上当个小白问一些审查指南上明确指明的问题。
(三)高质量的专利申请文件。
这本书告诉了我,高质量的专利申请文件,指的是“清楚、完整”,展开来就是“权利要求不求多、实施例越多越好”,进一步展开理解就是“能获得授权、扛得住无效、抓得住侵权”。
(四)北京知识产权法院典型案例评析。
这本书的作用是扩充视野,例如“马库什权利要求“这样的词会出现在很多书里面,但是那些写书的大佬们不会告诉你什么叫马库什权利要求,而在这本书里,你能看见很多以前从未见过的名词。不过这本书有一大半讲的是商标代理,用处着实没那么大,只能作为看其他书的前置科普。
(五)跟着审查员学检索。
内容如书名,这本书的重要性,我在后面说明。
(六)发明分析与权利要求撰写。
这是我见过的唯一一本详细地讲述了如何分析发明然后构建权利要求布局的书,不要看是外国人写的书,大部分内容是符合中国专利法的,也符合中国专利审查的规则。
(七)机械领域专利申请文件撰写精解。
这本书以举例的形式讲述了机械领域所有专利类型的撰写方法,由浅入深,十分详尽,对于这本书,我需要好好地吹一吹。
我刚开始看这本书的时候,还是抱着学习的心态。
例如,这样的权利要求,嗯,这种我会写。
1.一种直喷式柴油机的燃烧室形状,其中的柴油机具有形成在活塞顶壁上的凹陷状燃烧室、且以预定喷口角度将燃油从燃油喷射阀的喷口喷射到该燃烧室中,所述喷口的中心基本上位于汽缸中心线上,其特征在于,所述燃烧室的壁面包括:
截顶圆锥状的山丘部,其位于所述燃烧室的中央部、并具有可使燃油喷雾不撞击在其上的倾角和外侧端直径;
斜坡部,其以小于所述山丘部的倾角的角度从所述山丘部的外侧端向下朝外倾斜,且燃油喷雾撞击于其上而向径向的外周侧流动;以及
托盘状部,其从所述斜坡部的外周端以弧形形状耸起达到所述燃烧室的外周端,且燃油喷雾撞击于其上而向顶部间隙部侧流动。
以及,这样的权利要求,我也会写。
1.一种具有台阶结构的燃烧室,其内设置有群喷孔喷嘴,其特征在于,在活塞(130)顶面全周设置第一台阶(135)和第二台阶(136),第一台阶位于活塞下降行程时的喷雾撞击的位置,第二台阶位于活塞上升行程时的群喷孔喷嘴(20)的喷雾撞击的问题,在****过程中各群喷孔(24)的燃料喷射在第一台阶和第二台阶上的燃料被反射。
然后我的心态就崩掉了,因为我看见了这样的权利要求,这样的权利要求我就不会写了。
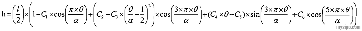
1.一种高压燃料泵凸轮机构,用于在发动机系统中泵送燃料,包括凸轮和推抵于凸轮的凸轮面上的从动件,其特征在于,
所述凸轮面由凸轮型线限定,所述凸轮型线包含彼此平滑衔接的升程型线和回程型线,所述升程型线和回程型线各自为一条由下述型线函数表示的连续曲线:

其中,l为最大凸轮升程;C1、C2、C3、C4、C5、C6为系数,其中升程型线的各系数与回程型线的各系数相同或不同;θ为沿凸轮旋转方向从升程或回程型线起点算起的凸轮相对旋转角,单位为弧度;α为升程或回程型线所占据的角度,单位为弧度;h为对应所述凸轮相对旋转角的位置处凸轮升程。
后续的机械类专利的权利要求,不仅有机械结构,还有化学方向(应用于3D打印机的材料),以及电学方向(应用于数控机床的评价方法),这本书让我意识到,以我本科的学历也就到此为止了。
在意识到自己的极限之后,首先我先失眠了大概3个小时,然后开始思考我能做什么?
第一步,我看了看自己的雄心大志“2021年获得法律职业资格”,然后我搜索了专利代理师的招聘信息,认真地比较了学历或者律师证与工资收入之间的关系,接着我就删掉了关于法考方面的任何志向,改为了攒钱,先积累全家三年不饿肚子的钱,然后考研。
第二步,我把这本书认真地学完了,除了我不会写的以外,每个案例都照着写了一个专利文件,然后,正如我之前所说,权利要求的撰写在我的眼中,终于揭开了她神秘的面纱。
我们完全按照书上的步骤,一步一步踏踏实实的,写完一篇专利。
(一)接收客户提供的技术交底材料
(二)理解和分析技术交底材料,并且思考以下几个问题:
(1)本案保护的主体是什么?是方法还是产品,或者两者均可?可以采用哪一种专利类型给予保护?是发明专利、实用新型还是外观设计?
(2)通过对申请主体进行检索和分析,确定本案的改进之处体现在哪里?是否具备新颖性和创造性?
(3)是否存在需要委托人作出进一步说明和/或补充的内容?
(三)与客户的沟通和确认,并需要客户反馈以下几个问题:
(1)同意专利代理师对技术交底材料中技术方案的理解。
(2)对保护专利类型的倾向性意见。
(3)对技术交底材料的详尽说明。
(四)对技术交底材料的进一步理解
(五)理解技术主体的实质性内容,列出全部技术特征。
(六)根据最接近的现有技术,确定该要求保护的技术主体要解决的技术问题及解决上述技术问题所需的全部必要技术特征。
(1)确定最接近的对比文件;
(2)确定本案要解决的技术问题;
(3)从本案所有的改进方向中,找出关键发明点;
(4)列出为解决(3)中技术问题所必须包括的全部必要技术特征。
(七)撰写独立权利要求。
(八)撰写从属权利要求。
为什么一定要踏踏实实地做完上述所有步骤?此处只是列举了所有步骤中的一部分。
不论是代理师还是审查员,人的思维都是发散的,尤其是长期编案子的,更是发散性思维,而专利就是一板一眼非常刻板、死板的东西。
上述步骤就如同是三步法,如同日本的弓道,讲究正射必中。只要姿势完全正确,那么即使看不见靶子,也能命中。
只有踏踏实实地理解了技术交底材料,并且确定了最接近的对比文件,才能找到本案要解决的技术问题,也才能找到全部必要技术特征。
而编案子的代理人,正是离技术交底材料最近的人,却也是离最接近的对比文件最远的人,所以编案子编久了,就是写不出保护型专利来。
理由很简单,因为检索对比文件很耽误时间,很多人懒得检索,而检索的越少,代理师距离专利的本质就越远。
然后我回过头来看了一遍这些步骤,发现这就是人类智慧的精华,检索最接近的对比文件,确定区别技术特征,能够收束一个人的思维,把他的思维从发散型的限定死在这个专利的本质上。
不论是菜鸟、老鸟,还是编案子的,只要严格地按照这些步骤,一步一步脚踏实地的去完成,就一定能够写出一个合格的专利代理文件,正如同正射必中这一理论。
馋洋洋
2021/04/26 17:31 [来自北京市]
1 举报mkx
2021/04/26 21:29 [来自河南省]
收起回复 0 举报goding
2021/04/27 08:20 [来自山东省]
0 举报北纬十八度巨蟹
2021/04/27 08:31 [来自广东省]
1 举报I潇潇暮雨I
2021/04/27 08:48 [来自河北省]
0 举报破釜沉舟
2021/04/27 08:50 [来自上海市]
收起回复 3 举报